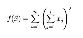
Schwefel's double sum is a quadratic minimization problem which difficulty increases by the dimension n in O(nē). It is used for analysis of correlating mutations.
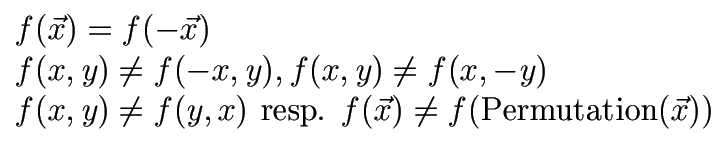
It possesses specific symmetrical properties:
Its minimum is located at: f(x)=f([0, 0, ... , 0])=0
Hans Paul Schwefel. Evolution and optimum seeking. Sixth-Generation Computer Technology Series. John Wiley & Sons, INC., 1995.